BIST 11.223
DOLAR 42,60
EURO 49,67
ALTIN 5.754,95

Matematik problemi çözen uygulama: Mathpix

Matematik problemi çözen uygulama: Mathpix

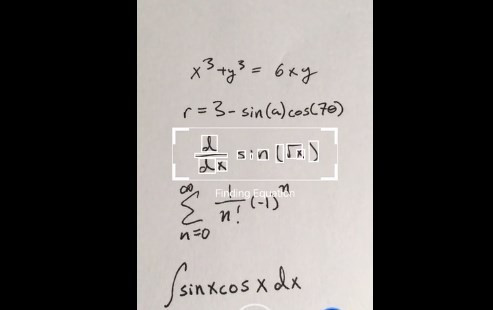
Matematik problemlerini çözen akıllı telefon uygulaması Mathpix, Apple’ın uygulama mağazası App Store’da yerini aldı.

Matematik problemi çözen uygulama: Mathpix - Resim: 1

Matematik problemlerini çözen akıllı telefon uygulaması Mathpix, Apple’ın uygulama mağazası App Store’da yerini aldı. Ücretsiz olarak indirilebilen Mathpix, telefonun kamerasını kullanarak, aritmetik, kesirler, cebirsel denklemler, kökler, logaritma, trigonometri, integral, türev ve sonsuz seriler ile ilgili soruları çözebiliyor.

Matematik problemi çözen uygulama: Mathpix - Resim: 2

‘Matematik soruları çöz’ uygulamasının cevaplayabildiği sorular arasında, lineer cebir, matrisler ve çok satırlı denklemler de bulunuyor.

Matematik problemi çözen uygulama: Mathpix - Resim: 3

“Daha hızlı ve daha kolay matematik” sloganıyla geliştirilen Mathpix, yapay zekaya dayalı derin öğrenme (deep learning) ve akıllı telefonların görsel tanıma teknolojilerini kullanıyor. El yazısı tanıma özelliği de bulunan Mathpix, problemlerinin adım adım çözümlerini de gösterip, grafiklerini de çizebiliyor.

Matematik problemi çözen uygulama: Mathpix - Resim: 4

Uygulama ile bir problem çözebilmek için yapılması gereken tek şey ise, Mathpix’i açıp, ekranda, tahtada veya kitapta, dijital formatta veya el yazısı ile yazılmış olan bir matematik probleminin kamera ile fotoğrafını çekmek. Stanford Üniversitesi’ndeki doktora öğrencisi Nicolas Jimenez tarafından geliştirilen Mathpix uygulaması şu anda iOS işletim sistemli cihazlara ücretsiz olarak indirilip, kullanılabiliyor.